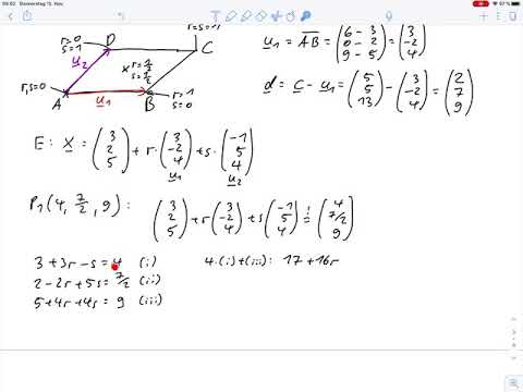
Exercise Sheet 5.2 – Analytical Geometry – Plane Point Test Parallelogram Problem 7
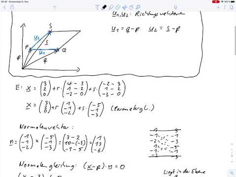
Übungsblatt5.2 – Analytische Geometrie – Ebene Koordinatengleichung in Parameterform Aufg.3a
Übungsblatt5 Aufgabe 2 (Master) – EinmassenschwingerM ü5 2
Exercise Sheet 5.2 – Analytical Geometry – Plane Equation in Parametric Form and Hessian Normal F...
Übungsblatt 5, Aufgabe 2 -- TU Dortmund, Höhere Mathematik II (BCI/BW/MLW)
Übungsblatt 5, Aufgabe 2 -- TU Dortmund, Höhere Mathematik I (BCI/BW/MLW), WS2018/19 (ÜB5 A2)
Übungsblatt5 Aufgabe 1 (Master) – Einmassenschwinger
Übungsblatt 5, Aufgabe 4 -- TU Dortmund, Höhere Mathematik II (BCI/BW/MLW)
Übungsblatt 5, Aufgabe 1 -- TU Dortmund, Höhere Mathematik II (BCI/BW/MLW)
Bemerkung 2 für Übungsblatt 5, Aufgabe1
NM A 2 3 Einmassenschwinger
Übungsblatt 5, Aufgabe 3 -- TU Dortmund, Höhere Mathematik II (BCI/BW/MLW)
Übungsblatt5.3 – Analytische Geometrie – Abstand Punkt Gerade Aufg.1a und 2
Exercise sheet 5.3 – Analytical geometry – Distance and intersection point of two lines, problems...
Übungsblatt5 Aufgabe h - Integration Rotationsvolumen
A7 – Einmassenschwinger – Auslenkungsfunktion / Vergrößerungsfunktion (Klausur WiSe 21-22)
Übungsblatt5 Aufgabe a - Integration Rotationsvolumen und Mantelfläche
Übungsblatt5.3 – Analytische Geometrie – Schnittgerade von zwei Ebenen Aufg.9a
Übungsblatt5 Aufgabe b - Integration Rotationsvolumen und Mantelfläche
Übungsblatt3 Aufgabe c2 - Numerische Integration mit der Simpsonformel