Übungsblatt3 Aufgabe a3 - Numerische Integration mit der Newton Cotes Formel
Übungsblatt 3, Aufgabe 3 -- TU Dortmund, Höhere Mathematik I (BCI/BW/MLW), WS2018/19 (ÜB3 A3)
A3 – Integration – num. Int. mit Newton Cotes, Mantelfläche (Klausur SoSe 2020)
Exercise sheet 3, problem c1 - Numerical integration using Simpson's formula
Übungsblatt3 Aufgabe c2 - Numerische Integration mit der Simpsonformel
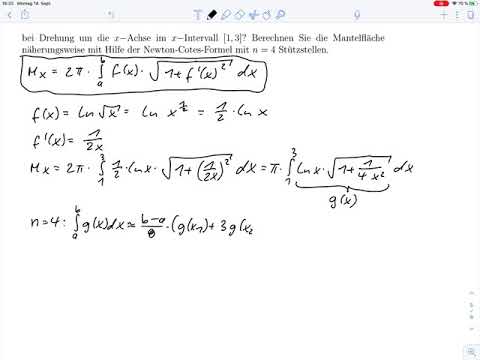
A3 – Integration – Flächenberechnung – Newton Cotes und exakt (Klausur SoSe 2022)
Übungsblatt 3, Aufgabe 1 -- TU Dortmund, Höhere Mathematik I (BCI/BW/MLW), WS2018/19 (ÜB3 A1)
Übungsblatt3 Aufgabe 1d, e und f (Master) – Funktionenfolgen (alt)
Übungsblatt 3, Aufgabe 1 -- TU Dortmund, Höhere Mathematik II (BCI/BW/MLW)
Übungsblatt 3, Aufgabe 2 -- TU Dortmund, Höhere Mathematik I (BCI/BW/MLW), WS2018/19 (ÜB3 A2)
Übungsblatt 10, Aufgabe 3 -- TU Dortmund, Höhere Mathematik I (BCI/BW/MLW), WS2018/19 (ÜB10 A3)
Übungsblatt3 Aufgabe a2 - Numerische Integration mit der Newton Cotes Formel
Übungsblatt 5, Aufgabe 3 -- TU Dortmund, Höhere Mathematik I (BCI/BW/MLW), WS2018/19 (ÜB5 A3)
Übungsblatt 1, Aufgabe 3 -- TU Dortmund, Höhere Mathematik I (BCI/BW/MLW), WS2018/19 (ÜB1 A3)
Übungsblatt 4, Aufgabe 3 -- TU Dortmund, Höhere Mathematik I (BCI/BW/MLW), WS2018/19 (ÜB4 A3)
Umkehrabbildungen bestimmen -- TU Dortmund, Höhere Mathematik I (BCI/BW/MLW), WS2018/19 (TB5 A3)
Übungsblatt4 Aufgabe c - Integral Flächeninhalt
Altklausur WiSe 2018/19 Aufgabe 1 – TU Dortmund, Höhere Mathematik II (BCI/BW/MLW)
Übungsblatt5 Aufgabe b - Integration Rotationsvolumen und Mantelfläche
Übungsblatt5 Aufgabe j - Integration Rotationsvolumen