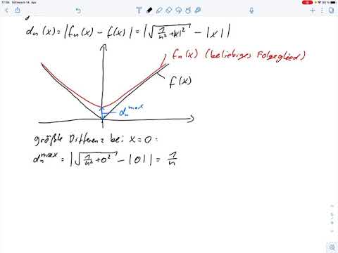
Übungsblatt3 Einführung und Aufgabe 1a (Master) – Funktionenfolgen
Übungsblatt3 Einführung und Aufgabe 1a (Master) – Funktionenfolgen (alt)
Übungsblatt3 Aufgabe 1b und c (Master) – Funktionenfolgen
Übungsblatt3 – Ungleichungen mit Fallunterscheidung Aufg.2 b und d
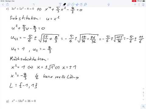
Übungsblatt3 – Biquadratische Gleichungen mit Substitution Aufg.4 e und g
Übungsblatt3 –Gleichungen lösen Aufg.4 l und n
Exercise Sheet 3 – Inequalities Exercise 1 a, c, d and e
06 Übungsblatt 3 Profile Abfasen und Verrunden
Übungsblatt3 Aufgabe 1d, e und f (Master) – Funktionenfolgen
Übungsblatt3: Die Alkene
Übungsblatt3 –Gleichungen lösen Aufg.4 w und z
Übungsblatt 3 Aufgabe 1a Erklärung
Übungsblatt3 Aufgabe 1b und c (Master) – Funktionenfolgen (alt)
Lösungen zu Übungsblatt 3
Übungsblatt3 Aufgabe 2b (Master) – Taylorpolynom
Übungsblatt 3, Zusatzaufgaben -- TU Dortmund, Höhere Mathematik II (BCI/BW/MLW)
Übungsblatt 3 Aufgabe 3a Erklärung
Übungsblatt 3, Aufgabe 2 -- TU Dortmund, Höhere Mathematik II (BCI/BW/MLW)
Übungsblatt3 Aufgabe a2 - Numerische Integration mit der Newton Cotes Formel
Übungsblatt 3, Aufgabe 1 -- TU Dortmund, Höhere Mathematik II (BCI/BW/MLW)
Lösung Übungsblatt 3
Exercise sheet 3, problem c1 - Numerical integration using Simpson's formula
Übungsblatt 3, Aufgabe 2 -- TU Dortmund, Höhere Mathematik I (BCI/BW/MLW), WS2018/19 (ÜB3 A2)
Übungsblatt 3, Aufgabe 1 -- TU Dortmund, Höhere Mathematik I (BCI/BW/MLW), WS2018/19 (ÜB3 A1)
Übungsblatt3 Aufgabe c2 - Numerische Integration mit der Simpsonformel