Übungsblatt2 Aufgabe f6 - Integration per Partialbruchzerlegung
Übungsblatt2 Aufgabe a3 – partielle Integration
Übungsblatt2 Aufgabe a8 - partielle Integration
Übungsblatt2 Aufgabe f9 - Integration per Substitution und anschließender Partialbruchzerlegung
Übungsblatt4 Aufgabe c - Integral Flächeninhalt
A1c - Integration per Partialbruchzerlegung (Klausur WiSe 21/22)
Übungsblatt2 Aufgabe f4 - Integration per Partialbruchzerlegung
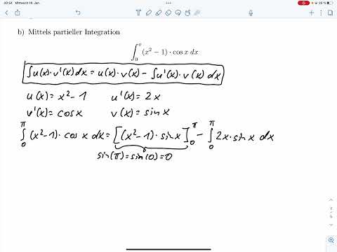
A1b - Integration per Partieller Integration und Substitution (Klausur SoSe 2022)
Übungsblatt5 Aufgabe h - Integration Rotationsvolumen
Übungsblatt4 Aufgaben b1 und b2 - Integral Flächeninhalt
Integration by substitution – Exercise 1 a and b – Rep. Mathematics 2
Exercise sheet 3, problem c1 - Numerical integration using Simpson's formula
Übungsblatt3 Aufgabe c2 - Numerische Integration mit der Simpsonformel
Übungsblatt5 Aufgabe j - Integration Rotationsvolumen
A1b - Integration per Partieller Integration (Klausur WiSe 22/23)
Ein Tag im Homeoffice eines Profs - wie funktioniert eine Live-Vorlesung?
Übungsblatt4 Aufgabe h - Integration Bogenlänge
MEB09 Digitaltechnik (Live) - Livestream-Test
University President at the start of the semester: “Trying out new, digital ways together”
#CHEMIEKEULE - Massenwirkungsgesetz, Chemisches Gleichgewicht, Le Chatelier