Übungsblatt2 Aufgabe a3 – partielle Integration
Übungsblatt2 Aufgabe 3 (Master) - Komplexe Zahlen
Übungsblatt2 (Zusatzaufgabe) - Integration per Substitution
Übungsblatt2 Aufgabe a4 - partielle Integration
A3 – Komplexe Zahlen Vereinfachen (Klausur SoSe 2023)
A3 – Komplexe Zahlen -Auflösen (Klausur SoSe 2022)
Übungsblatt2 Aufgabe a1 - partielle Integration
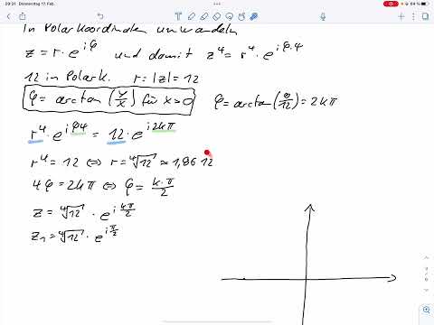
Übungsblatt2 Aufgabe 2 (Master) - Komplexe Zahlen
Übungsblatt2 Aufgabe 1f und 1g (Master) - Komplexe Zahlen
Übungsblatt 2, Aufgabe 1 -- TU Dortmund, Höhere Mathematik I (BCI/BW/MLW), WS2018/19 (ÜB2 A1)
Übungsblatt 2, Aufgabe 2 -- TU Dortmund, Höhere Mathematik I (BCI/BW/MLW), WS2018/19 (ÜB2 A2)
Übungsblatt2 Aufgabe a8 - partielle Integration
Übungsblatt2 Aufgabe 7e (Master) - Komplexe Zahlen
Übungsblatt3 Aufgabe a3 - Numerische Integration mit der Newton Cotes Formel
Übungsblatt 2, Aufgabe 2 -- TU Dortmund, Höhere Mathematik II (BCI/BW/MLW)
Übungsblatt 2, Aufgabe 1 -- TU Dortmund, Höhere Mathematik II (BCI/BW/MLW)
Folgen und Reihen - Geometrische Reihe mit späterem Summationsbeginn - Lösung der Aufgabe
Übungsblatt2 Aufgabe f9 - Integration per Substitution und anschließender Partialbruchzerlegung
A3 – Komplexe Zahlen – Gleichung lösen (Klausur WiSe 21-22)
Übungsblatt2 Aufgabe f6 - Integration per Partialbruchzerlegung