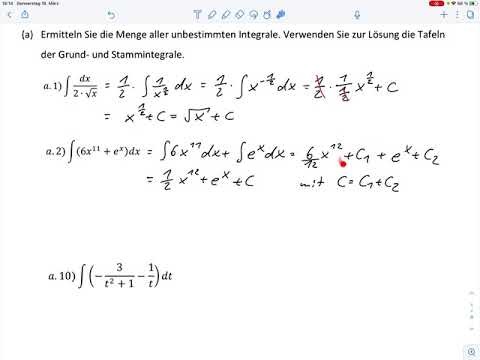
Übungsblatt1 Aufgabe a1 - Grundintegrale (alt)
Übungsblatt1 Aufgabe a1, 2, 10 und 12 – Grundintegrale
Übungsblatt 1, Aufgabe 1 -- TU Dortmund, Höhere Mathematik I (BCI/BW/MLW), WS2018/19 (ÜB1 A1)
Übungsblatt1 Aufgabe 1 (Master) - Bildungsgesetz von Zahlenfolgen (alt)
Übungsblatt1 Aufgabe a2 - Grundintegrale (alt)
Übungsblatt1 Aufgabe a10 - Grundintegrale (alt)
Übungsblatt1 Aufgabe a12 - Grundintegrale (alt)
A1 – Zahlenfolge, Bildungsgesetz und Grenzwert (Klausur SoSe 2022)
Bruchungleichungen Aufgabe 1 a und b Rep. Mathematik 1
Austauschlemma -- TU Dortmund, Höhere Mathematik I (BCI/BW/MLW), WS2018/19 (TB9 A1)
Videolösung Übung 1 Aufgabe 2 und 3
A10 – Trigonometrische Gleichung (Klausur WiSe 20/21)Aufg10
Exercise Sheet 1.2 – Sums and Products Exercises 10 and 11
Übungsblatt 7, Aufgabe 1 -- TU Dortmund, Höhere Mathematik I (BCI/BW/MLW), WS2018/19 (ÜB7 A1)
Übungsblatt 1, Aufgabe 2 -- TU Dortmund, Höhere Mathematik I (BCI/BW/MLW), WS2018/19 (ÜB1 A2)
Integration von Polynomen
Übungsblatt 1, Aufgabe 3 -- TU Dortmund, Höhere Mathematik I (BCI/BW/MLW), WS2018/19 (ÜB1 A3)
Lineare Abbildungen, Kern, Bild-- TU Dortmund, Höhere Mathematik I (BCI/BW/MLW), WS2018/19 (TB10 A1)
Kurvendiskussion einer gebrochenrationalen Funktion - Aufgabe 39 – Rep. Mathematik 1
Übungsblatt 4, Aufgabe 1 -- TU Dortmund, Höhere Mathematik I (BCI/BW/MLW), WS2018/19 (ÜB4 A1)